Lowndes Area Knowledge Exchange (LAKE)
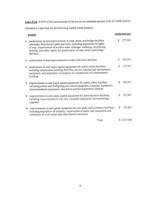
Lake Park Project List
SPLOST VIII Project Lists
Board Packet @ LCC
22 July 2019
bigger
PDF
Photographs
by
Lowndes Area Knowledge Exchange (LAKE)
,
licensed by a
Creative Commons Attribution-Share Alike 3.0 U.S. License
.
Lowndes Area Knowledge Exchange (LAKE)