Lowndes Area Knowledge Exchange (LAKE)
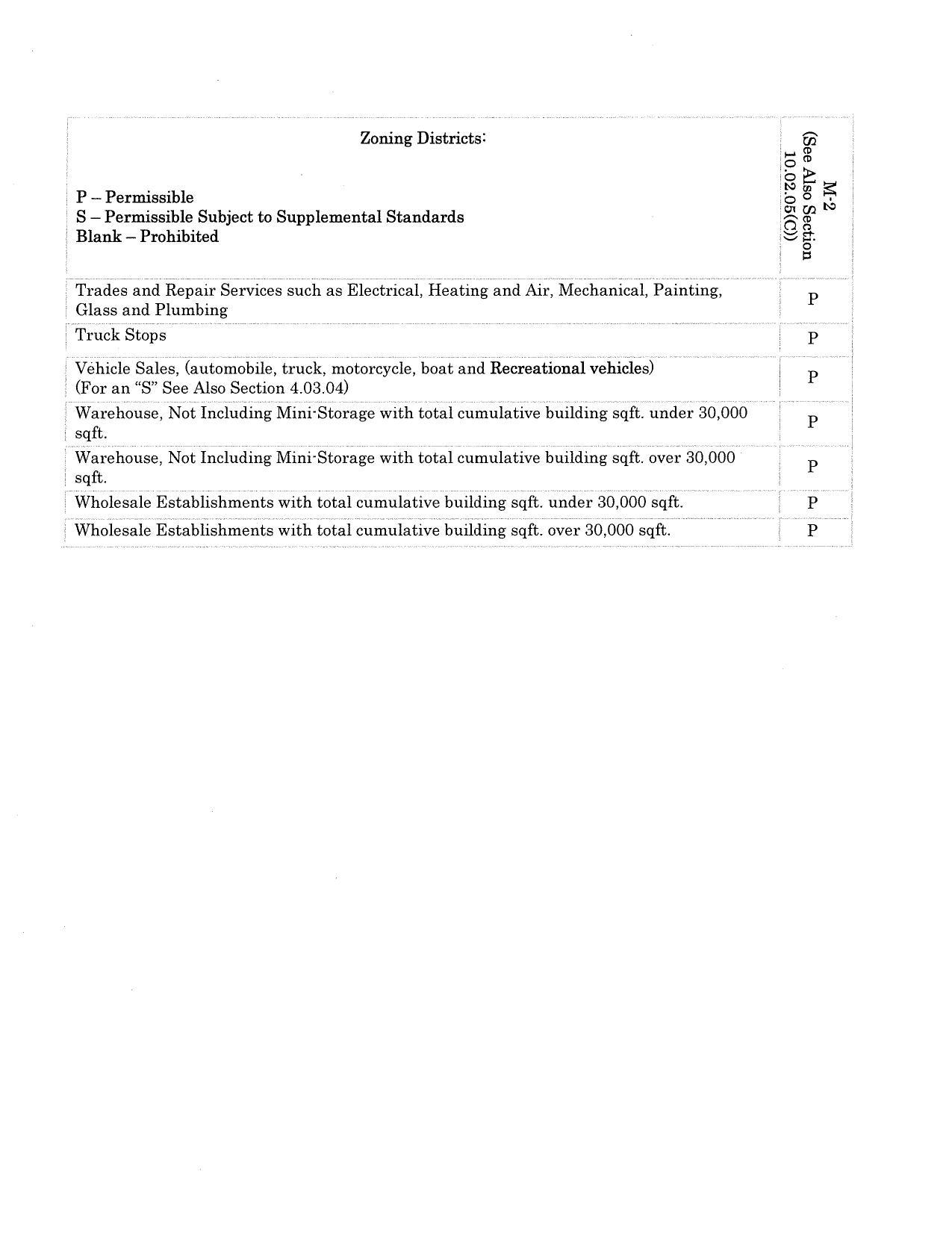
(For an “S” See Also Section 4.03.04)
Rezoning Case REZ-2019-15 Hogan Property, US Hwy 41 N. & Wellman PI. E-A/R-1/M-1 to M-2, Well & Septic, ~7.01 acres
Packet: Rezonings on Val Del, Great North Road, US 41 N @ LCC
7 October 2019
smaller
PDF
Photographs
by
Lowndes Area Knowledge Exchange (LAKE)
,
licensed by a
Creative Commons Attribution-Share Alike 3.0 U.S. License
.
Lowndes Area Knowledge Exchange (LAKE)