Lowndes Area Knowledge Exchange (LAKE)
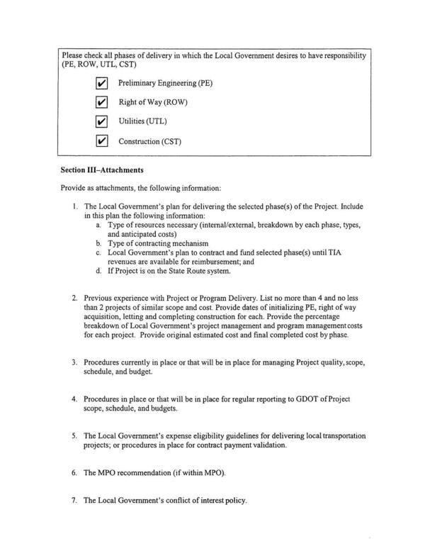
Section III-Attachments
Transportation Investment Act (TIA) Local Project Delivery Application - Kinderlou-Clyattville Road
Board's Pleasure should be Deny: Miller Bridge Road rezoning @ LCC
7 February 2022
bigger
PDF
Photographs
by
Lowndes Area Knowledge Exchange (LAKE)
,
licensed by a
Creative Commons Attribution-Share Alike 3.0 U.S. License
.
Lowndes Area Knowledge Exchange (LAKE)