Lowndes Area Knowledge Exchange (LAKE)

[prev][index][next] [index to photographs]

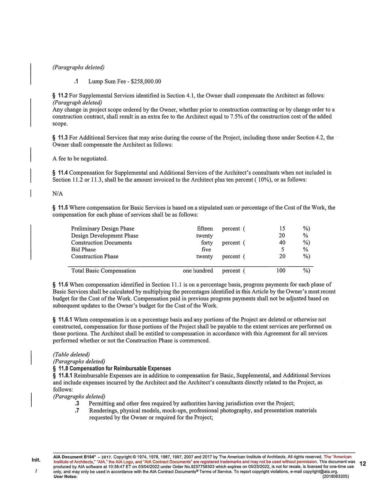
§ 11.2 For Supplemental Services identified in Section 4.1, the Owner shall compensate the Architect as follows:

Lowndes County Jail Medical Addition Owner and Architect Agreement
Subdivisions subsidized by roads, EV charging, VAWA, Soccer complex, Courtroom AV @ LCC
11 April 2022

 
§ 11.2 For Supplemental Services identified in Section 4.1, the Owner shall compensate the Architect as follows:
smaller PDF