Lowndes Area Knowledge Exchange (LAKE)
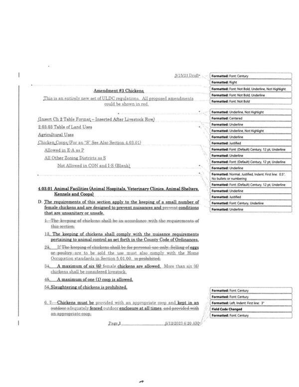
Amendment #3 Chickens
5 - 10
Draft Proposed Lowndes County Land Development Code changes
13 June 2023
bigger
PDF
Photographs
by
Lowndes Area Knowledge Exchange (LAKE)
,
licensed by a
Creative Commons Attribution-Share Alike 3.0 U.S. License
.
Lowndes Area Knowledge Exchange (LAKE)