Lowndes Area Knowledge Exchange (LAKE)

[prev][index][next] [index to photographs]

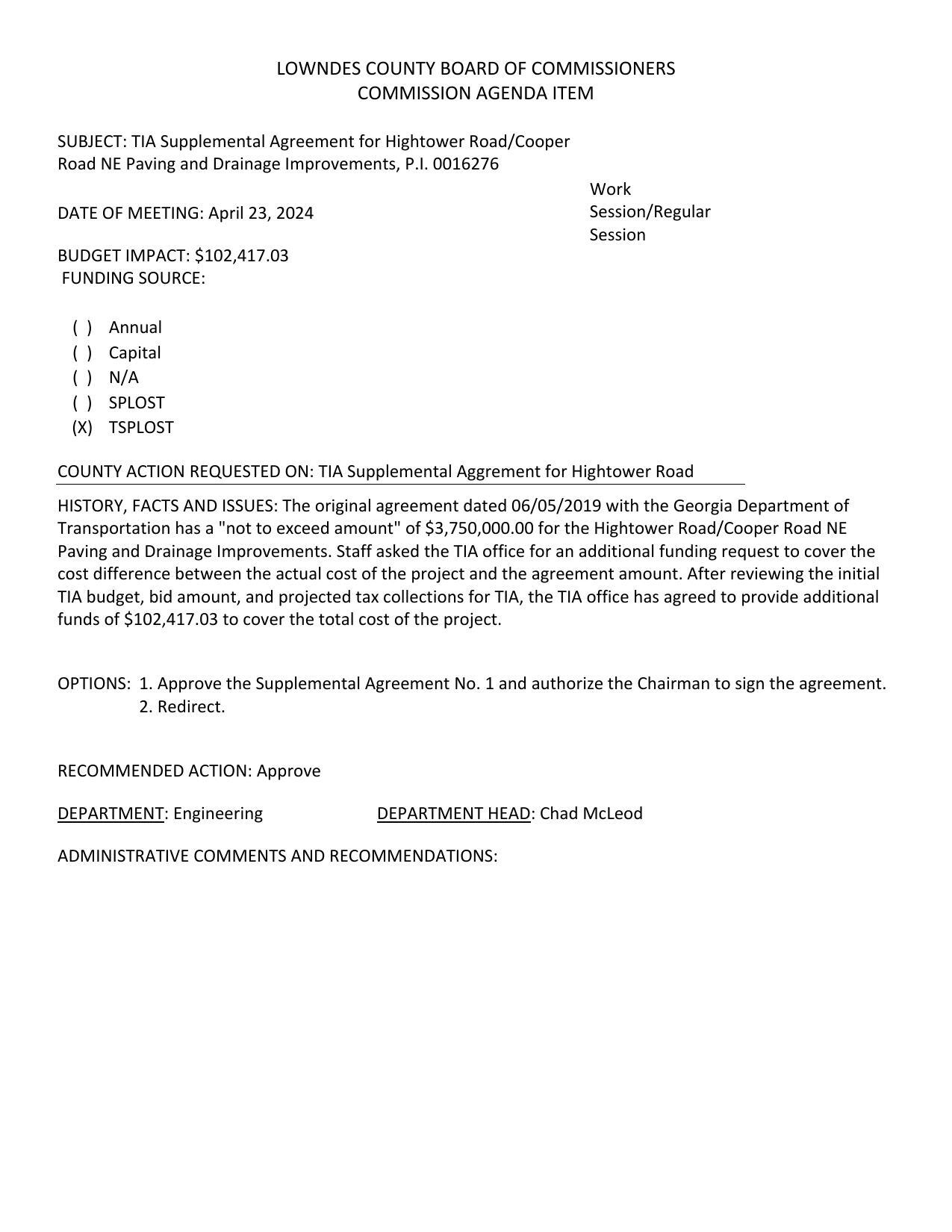
BUDGET IMPACT: $102,417.03 After reviewing the initial TIA budget, bid amount, and projected tax collections for TIA, the TIA office has agreed to provide additional funds of $102,417.03 to cover the total cost of the project.

TIA Supplemental Agreement for Hightower Road/Cooper Road NE Paving and Drainage Improvements, P.I. 0016276
Packet: 3 applicants for Land Bank Authority, Mutual Aid Agreement, SetterPointe Subdivision, grants, offsite alcohol, data center switches, and failed land sale @ LCC
22 April 2024

 
BUDGET IMPACT: $102,417.03 After reviewing the initial TIA budget, bid amount, and projected tax collections for TIA, the TIA office has agreed to provide additional funds of $102,417.03 to cover the total cost of the project.
smaller PDF