Lowndes Area Knowledge Exchange (LAKE)

[prev][index][next] [index to photographs]

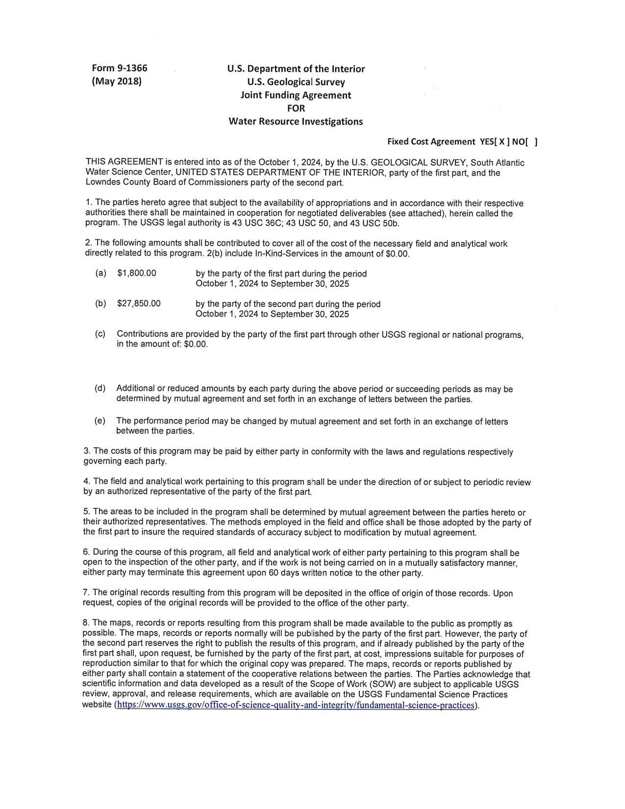
USGS Joint Funding Agreement FOR

Joint Funding Agreement with USGS for Stream Gauge Maintenance
Packet: ULDC text amendments, Loch Winn LTD rezoning, adoption of millage rates, USGS stream gauges, sprayfield expansion, watermain interconnection @ LCC
14 October 2024

 
USGS Joint Funding Agreement FOR
smaller PDF