Lowndes Area Knowledge Exchange (LAKE)

[prev][index][next] [index to photographs]

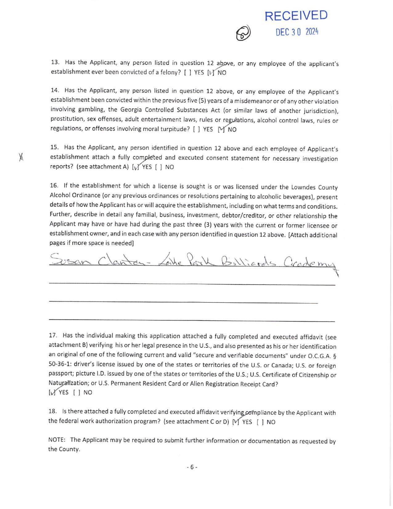
16. If the establishment for which a license is sought is or was licensed under the Lowndes County

Beer, Wine & Liquor License - Lisa Ash of Lisa's Billiards and
Packet: Tax Assessor and Land Bank appointments, Assessment rate, VAWA, alcohol @ LCC
27 January 2025

 
16. If the establishment for which a license is sought is or was licensed under the Lowndes County
smaller PDF