Lowndes Area Knowledge Exchange (LAKE)
USGS Joint Funding Agreement (JFA)
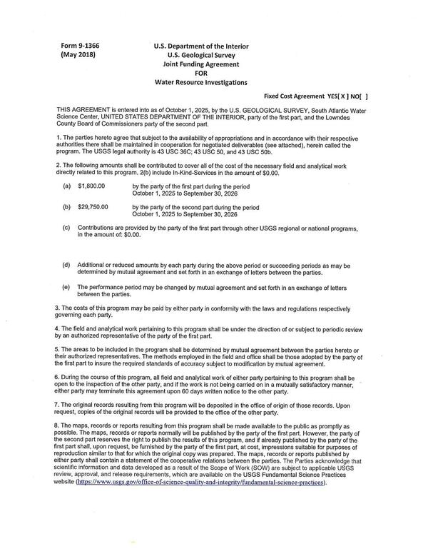
FY2026 Joint Funding Agreement with USGS
Packet: 2 small rezonings, Comprehensive Plan, USGS Gauges, GDOT for Shiloh Road, Civic Center Hurricane Repair @ LCC
11 August 2025
bigger
PDF
Photographs
by
Lowndes Area Knowledge Exchange (LAKE)
,
licensed by a
Creative Commons Attribution-Share Alike 3.0 U.S. License
.
Lowndes Area Knowledge Exchange (LAKE)