Lowndes Area Knowledge Exchange (LAKE)
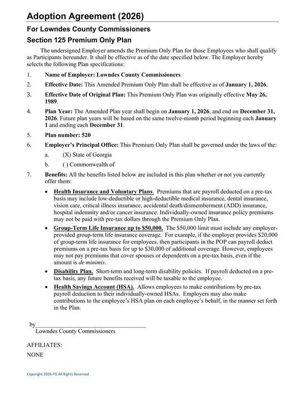
Adoption Agreement (2026)
Section 125 Plan Document Renewal for 2026
Packet: Alcohol, Health insurance, GEFA Lift State Pump Loan, Rascals demolition for Fire Station, Bemiss Road Mowing @ LCC
27 October 2025
bigger
PDF
Photographs
by
Lowndes Area Knowledge Exchange (LAKE)
,
licensed by a
Creative Commons Attribution-Share Alike 3.0 U.S. License
.
Lowndes Area Knowledge Exchange (LAKE)